CHẤT LƯỢNG NƯỚC – KIỂM TRA VÀ XÁC ĐỊNH ĐỘ MÀU -TIÊU CHUẨN QUỐC GIA TCVN 6185 : 2008 ISO 7887 : 1994 VỀ NƯỚC
CHẤT LƯỢNG NƯỚC – KIỂM TRA VÀ XÁC ĐỊNH ĐỘ MÀU
Water quality – Examination and determination of colour
Lời nói đầu
TCVN 6185 : 2008 thay thế TCVN 6185 : 1995.
TCVN 6185 : 2008 hoàn toàn tương đương với ISO 7887 : 1994.
TCVN 6185 : 2008 do Ban Kỹ thuật tiêu chuẩn TCVN/TC 147 “Chất lượng nước” biên soạn, Tổng cục Tiêu chuẩn Đo lường Chất lượng đề nghị, Bộ Khoa học và Công nghệ công bố.
Lời giới thiệu
Nước tinh khiết quan sát được khi có ánh sáng truyền qua ở độ sâu vài trăm mét cho màu lam nhẹ nhưng có thể biến đổi khi trong nước có các chất ô nhiễm tạo nên nhiều màu khác nhau. Nước tự nhiên phần lớn có màu nâu hơi vàng do chứa các thành phần đặc thù như sắt, các hạt sét, các chất mùn (hoặc màu xanh lá cây do trong nước có tảo) và màu có thể không quan sát được hoàn toàn do các chất hòa tan hoàn toàn. Tuy nhiên, đối với phân tích, “màu thực” của mẫu nước là mẫu cần quan tâm. Màu thực được mô tả do các chất hòa tan (nghĩa là tất cả các chất lọt qua được màng lọc có cỡ lỗ 0,45 µm). Màu quan sát được khi có các chất lơ lửng không hòa tan được mô tả là “màu biểu kiến”. Màu vốn có của nước có thể bỏ qua khi phân tích.
Thuật ngữ màu mô tả là đặc tính cảm nhận bằng mắt thường bao gồm cả sự kết hợp có màu và không màu (xem Xuất bản phẩm CIE No.17.4:1987, thuật ngữ số 845-02-18). Trong tiêu chuẩn này, thuật ngữ màu được dùng trong ngữ cảnh hẹp, để mô tả độ hấp thụ tại các bước sóng cụ thể.
CHẤT LƯỢNG NƯỚC
KIỂM TRA VÀ XÁC ĐỊNH ĐỘ MÀU
Water quality – Examination and determination of colour
Tiêu chuẩn này quy định ba phương pháp kiểm tra độ màu.
Chương hai Quy định phương pháp kiểm tra độ màu của mẫu nước trong chai bằng mắt thường. Phương pháp này chỉ cho thông tin sơ bộ, ví dụ dùng cho công việc khảo sát ngoài hiện trường. Phương pháp này chỉ có thể ghi được độ màu bên ngoài;
Chương ba Quy định phương pháp xác định độ màu thực của mẫu nước bằng thiết bị quang học và có thể áp dụng cho nước thô, nước sinh hoạt và nước công nghiệp có độ màu thấp. Đối với các chất gây nhiễu, xem 3.3
Chương bốn Quy định phương pháp xác định độ màu bằng cách so sánh dùng mắt thường với dung dịch tiêu chuẩn hexaclopiatinat và có thể áp dụng cho nước thô và nước uống. Đối với các chất gây nhiễu, xem 4.2
Các mẫu nước có độ màu đậm trong một số trường hợp cần phải pha loãng trước khi kiểm tra hoặc xác định.
Khi báo cáo kết quả, nhất thiết phải viện dẫn phương pháp sử dụng.
Các tài liệu viện dẫn sau là rất cần thiết cho việc áp dụng tiêu chuẩn này. Đối với các tài liệu viện dẫn ghi năm công bố thì áp dụng bản được nêu. Đối với các tài liệu viện dẫn không ghi năm công bố thì áp dụng phiên bản mới nhất (bao gồm cả sửa đổi).
TCVN 6492 : 1999 (ISO 10523 : 1994) Chất lượng nước – Xác định pH.
CIE Publication No. 17.4 : 1987, International lighting vocabulary (Từ vựng Quốc tế về chiếu sáng).
Trong tiêu chuẩn này, áp dụng các định nghĩa đưa ra trong xuất bản phẩm số 17.4 của CIE và các định nghĩa sau:
1.3.1. Độ màu của nước (colour of water)
Đặc tính quang học gây ra sự thay đổi thành phần quang phổ của ánh sáng nhìn thấy được truyền qua.
1.3.2. Độ màu bên ngoài của nước (apparent colour of water)
Độ màu do các chất hòa tan và huyền phù không tan; được xác định trong mẫu nước ban đầu chưa lọc hoặc ly tâm.
1.3.3. Độ màu thật của nước (true colour of water)
Độ màu chỉ do các chất hòa tan, được xác định sau khi lọc mẫu nước qua màng lọc có cỡ lỗ 0,45 µm.
Chương hai: Kiểm tra bằng mắt thường
2.1.1. Bình không màu, bình thủy tinh sạch và trong suốt, có dung tích ít nhất là một lít.
Tất cả các bình thủy tinh dùng để đựng mẫu phải rất sạch, bằng cách rửa với axit clohydric [c(HCl) » 2 mol/l], hoặc nên rửa bằng dung dịch làm sạch có hoạt tính bề mặt. Cuối cùng tráng bằng nước cất và để cho ráo nước.
Thu thập mẫu thử vào các chai thủy tinh có dung tích ít nhất là một lít và tiến hành kiểm tra màu càng sớm càng tốt ngay sau khi lấy mẫu. Nếu phải bảo quản mẫu thì phải bảo quản ở nơi tối, nhiệt độ 4 °C. Tránh để mẫu nước tiếp xúc với không khí trong khi bảo quản, nhất là trong các trường hợp xảy ra phản ứng khử làm thay đổi độ màu. Cần tránh có sự thay đổi nhiệt độ.
Cho mẫu nước chưa lọc vào chai (2.1) và kiểm tra cường độ màu và độ màu của mẫu trong ánh sáng khuyếch tán trên nền trắng. Nếu mẫu có chứa chất rắn lơ lửng, thì nên làm lắng trước khi kiểm tra nếu có thể.
2.4. Biểu thị kết quả
Báo cáo cường độ của độ màu (không màu, nhợt, sáng hoặc tối) và màu (ví dụ vàng, nâu hơi vàng).
VÍ DỤ
Độ màu xuất hiện theo TCVN 6185 (ISO 7887) Chương 2 : Kiểm tra bằng mắt thường; màu nhợt, nâu hơi vàng.
Chương ba : Xác định độ màu thực bằng thiết bị quang học
Cường độ màu của mẫu nước được đặc trưng bởi hấp thụ ánh sáng tại độ hấp thụ ở bước sóng cực đại đã được định lượng bằng cách đo hệ số hấp thụ dùng máy đo phổ hoặc máy đo quang phổ có kính lọc thông thường, phần lớn nước tự nhiên có màu hơi vàng và mẫu nước thải có màu của nhà máy xử lý nước thải sinh hoạt được đo tại bước sóng 436 nm. Phổ của nước thải từ nhà máy xử lý nước thải công nghiệp không rõ nét và không phân biệt độ hấp thụ cực đại. Phổ của nước thải này cần phải kiểm tra tại các bước sóng được quy định trong 3.2.
Mô tả đặc điểm về cường độ màu của mẫu nước bằng cách đo độ suy giảm cường độ (độ hấp thụ) của ánh sáng. Các màu khác nhau tạo ra độ hấp thụ cực đại tại các bước sóng khác nhau của bức xạ tới. Theo tiêu chuẩn này, màu của nước được xác định bằng máy đo quang hoặc máy đo phổ tại ít nhất ba bước sóng khác nhau. Các bước sóng này được phân bố đều trên dải phổ nhìn thấy được.
l (1) = 436 nm
l (2) = 525 nm
l (3) = 620 nm
Bước sóng l = 436 nm (Hg 436 nm) thường được sử dụng, trong khi l (2) và l (3) có thể chênh lệch ít so với giá trị quy định ở trên, tùy thuộc vào loại kính lọc sử dụng. Để mô tả đặc điểm tốt hơn, có thể tiến hành các phép đo tại một số bước sóng gắn với độ hấp thụ cực đại.
Trước khi đo, mẫu nước được lọc (3.7) để loại bỏ các chất không hòa tan gây nhiễu. Tuy nhiên, việc lọc này có thể làm tăng các chất gây nhiễu (ví dụ, do phản ứng oxy hóa gây ra khi tiếp xúc mẫu với không khí hoặc do chất kết tủa ở bước lọc)
Ví dụ, hợp chất sắt và mangan có thể bị giữ lại trên bộ lọc hoặc có thể bị chuyển sang các dạng oxy hóa có màu.
Trong một số trường hợp, đặc biệt là có các chất rắn keo, ví dụ các hạt sét hoặc các chất lơ lửng phân tán mịn, không thể thu được dịch lọc màu sáng. Trong trường hợp này, cần phải ghi rõ sự có mặt của những chất rắn này trong kết quả thử nghiệm.
CHÚ THÍCH 1 Độ màu thường phụ thuộc vào nhiệt độ và pH. Do vậy, nhiệt độ và pH của mẫu nước thải thường được xác định song song với phép đo quang và các kết quả này được báo cáo cùng với những điều khác.
3.4.1. Nước tinh khiết dùng để phân tích quang học
Ngâm rửa bộ lọc vi khuẩn, có cỡ lỗ 0,1 µm trong nước cất hoặc nước đã loại ion khoảng 1 h.
Lọc khoảng 1 l nước cất hoặc nước đã loại ion qua cái lọc trên, đổ bỏ 50 ml dịch lọc đầu tiên.
CHÚ THÍCH 2 Có thể dùng nước cất hoặc nước đã loại ion nếu nước này không có độ hấp thụ
3.5.1. Máy đo phổ dùng cho các phép đo liên tục hoặc gián đoạn thích hợp với dải phổ nhìn thấy được (xấp xỉ từ 300 nm đến 780 nm).
hoặc
3.5.2. Máy đo quang phổ, dùng cho các phép đo gián đoạn, có trang bị các bộ lọc phổ có độ rộng của dải càng nhỏ càng tốt (khoảng 20 nm) cho phép đo ở các bước sóng 436 nm, 525 nm và 620 nm.
3.5.3. Bộ lọc màng, với những cái lọc có cỡ lỗ 0,1 µm và 0,45 µm.
3.5.4. Máy đo pH.
3.5.5. Nhiệt kế.
Xem 2.2.
Cài đặt máy đo phổ (3.5.1) hoặc máy đo quang (3.5.2) và tuân thủ nghiêm ngặt hướng dẫn vận hành của nhà sản xuất.
Trước khi kiểm tra, lọc mẫu nước qua màng lọc có cỡ lỗ 0,45 µm (3.5.3).
Song song với xác định độ màu, đo pH và nhiệt độ của mẫu đã lọc.
Trong trường hợp độ màu đậm, nên pha loãng mẫu bằng một thể tích xác định nước tinh khiết (3.4.1), nếu có thể, sau khi lọc. Cần phải đo pH trước và sau khi pha loãng.
CHÚ THÍCH 3 Thể tích nước được dùng để pha loãng phải được tính đến khi tính toán kết quả.
Chuyển mẫu nước vào cuvet của máy đo quang hoặc máy đo phổ và cho nước tinh khiết (3.4.1) vào cuvet đối chứng.
CHÚ THÍCH 4 Nếu hệ số hấp thụ phổ a bước sóng (l) nhỏ hơn 10 m-1,chiều dài của cuvet phải lớn hơn 10 mm
Đo nước tự nhiên tại bước sóng 436 nm so với nước tinh khiết dùng để phân tích quang học.
Thực hiện các phép đo tại các bước sóng 525 nm và 620 nm.
CHÚ THÍCH 5 Để xác định độ hấp thụ tối đa, nên đo phổ hấp thụ nằm trong khoảng từ 350 nm đến 780 nm, dùng máy đo phổ (3.5.1)
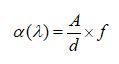
Tính hệ số hấp thụ quang phổ a(l) (độ hấp thụ trên đơn vị chiều dài truyền qua) theo công thức sau:

Trong đó:
A là độ hấp thụ của mẫu nước tại bước sóng l;
d là chiều dài quang của cuvet tính bằng milimet;
f là hệ số được dùng để cho hệ số quang phổ, tính bằng giá trị nghịch đảo của mét (f = 1 000).
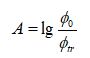
CHÚ THÍCH 6 Phần lớn các máy đo phổ được hiệu chuẩn trực tiếp theo các đơn vị hấp thụ. Tuy nhiên, đối với các thiết bị hiệu chuẩn chỉ theo độ truyền qua T = f…/f… độ hấp thụ được tính theo công thức sau

Trong đó
f0 là thông lượng tia tới;
ftr là thông lượng tia được truyền qua.
Ngoài hệ số hấp thụ a(l), bước sóng của tia tới (ví dụ 436 nm) cần phải được báo cáo. Đối với bức xạ không phải là đơn sắc, chiều rộng nửa phổ (Dl) (độ rộng dải) cũng cần phải báo cáo.
Làm tròn hệ số hấp thụ phổ chính xác tới 0,1 m-1
Ví dụ [màu thực theo TCVN 6185 (ISO 7887) chương 3]
Hệ số hấp thụ quang phổ
Hg l 436 nm 5,2 m-1
Hệ số hấp thụ quang phổ,
l 525 nm, Dl = 21 nm; 1,8 m-1
Hệ số hấp thụ quang phổ,
l 620 nm, Dl = 18 nm; 2,3 m-1
Nhiệt độ: 18,2 °C
Giá trị pH 6,4
Chương 4 : Phương pháp xác định độ màu trong nước tự nhiên bằng mắt thường
Xác định cường độ màu nâu hơi vàng của mẫu qua việc so sánh bằng mắt thường với một loạt dung dịch so sánh màu. Độ màu được tính theo đơn vị mg/l Pt chính là cường độ màu của dung dịch so sánh màu.
Các chất gây nhiễu sẽ làm tăng màu của mẫu khác đáng kể với màu của dung dịch so sánh màu đã định trước. Trong những trường hợp này, so sánh có thể không thu được sự khác biệt đáng kể và cần tiến hành xác định màu theo chương 3.
Thông tin thêm về chất gây nhiễu, xem 3.3.
Trong quá trình phân tích, ngoại trừ những quy định riêng, chỉ sử dụng các thuốc thử tinh khiết phân tích.
4.3.1. Dung dịch so sánh màu gốc tương ứng với 500 đơn vị mg/l Pt
Hòa tan 1,245 g ± 0,001g kali (IV) hexacloplatinat (K2PtCl6) và 1 000 g ± 0,001 g coban (II) clorua ngâm sâu nước (CoCl2.6H2O) trong khoảng 500 ml nước (3.4.1).
Thêm 100 ml ± 1 ml axit clohydric tinh khiết để phân tích quang học (p = 1,18 g/ml) vào trong bình định mức dung tích một lít và thêm nước đến vạch mức.
Bảo quản dung dịch này trong chai thủy tinh đậy nắp kín, ở nơi tối ở nhiệt độ không vượt quá 30 °C.
Dung dịch này bền ít nhất là ba tháng.
4.3.2. Các dung dịch so sánh màu
Dùng pipet hút lần lượt 2,5 ml; 5,0 ml; 10,0 ml; 15,0 ml; 20,0 ml; 25,0 ml; 30,0 ml và 35,0 ml dung dịch gốc (4.3.1) vào một dãy bình định mức 250 ml và thêm nước (3.4.1) đến vạch mức.
Các dung dịch này chứa tương ứng 5 mg/l Pt, 10 mg/l Pt, 20 mg/l Pt. 30 mg/l Pt, 40 mg/l Pt, 50 mg/l Pt, 60 mg/l Pt và 70 mg/l Pt.
Bảo quản các dung dịch này trong chai thủy tinh đậy kín, ở nơi tối và nhiệt độ không quá 30 °C.
Các dung dịch này bền trong một tháng.
4.4.1. Các ống so màu chuẩn ví dụ như các ống Nessler, loại cao khoảng 20 cm, dung tích 50 ml, làm bằng thủy tinh quang học trong suốt có đáy trong, hoặc ống quan sát đặt biệt.
CHÚ THÍCH 7 Có thể dùng các ống phi tiêu chuẩn lớn hơn.
4.4.2. Máy so màu (có bán trên thị trường)
Cần xem hướng dẫn về thao tác của nhà sản xuất. Các cuvet dùng cho mẫu trắng, hoặc mẫu đối chứng cần đổ đầy nước tinh khiết để phân tích quang học.
4.4.3. Kính màu chuẩn, có dải màu giống các màu tiêu chuẩn, theo đơn vị miligam Pt trên lít, như các dung dịch so sánh màu.
Các màu chuẩn này được phép dùng với điều kiện là chúng đã được kiểm tra trong các khoảng thời gian ba tháng đưa vào các dung dịch so sánh màu (4.3.2) và hiệu chuẩn lại nếu cần.
Xem 2.2.
Nếu mẫu phòng thí nghiệm đục, thì lọc qua màng lọc có cỡ lỗ 0,45 µm (xem 3.5.3) trước khi tiến hành xác định độ màu (xem chú thích 8).
Nếu trong mẫu thử có đất sét, hoặc chất lơ lửng phân tán mịn và không thể thu được dịch lọc màu sáng, trong những trường hợp này chỉ có thể đo được độ màu bên ngoài.
Nếu độ màu lớn hơn 70 mg/l Pt thì pha loãng mẫu với một lượng xác định nước tinh khiết dùng để phân tích quang học (3.4.1), đến khi màu của mẫu thử nằm trong khoảng màu của các dung dịch so sánh màu.
pH của mẫu có thể thay đổi do pha loãng. Do vậy, đo pH trước và sau khi pha loãng.
Rót các dung dịch so sánh màu gốc (4.3.1) vào dãy ống so màu chuẩn (4.4.1) cho tới vạch. Rót đầy phần mẫu thử vào các ống so màu chuẩn khác cho tới vạch.
Đặt các ống quan sát trên mặt phẳng trắng theo một góc sao cho ánh sáng (ánh sáng mặt trời không chiếu trực tiếp) hoặc ánh sáng từ buồng ánh sáng trắng phản xạ qua các cột chất lỏng theo hướng từ dưới lên
Nhìn thẳng đứng từ trên xống dưới qua các cột chất lỏng. So cường độ màu của phần mẫu thử với cường độ màu của dung dịch so sánh màu có độ màu hợp nhất.
Các khác, đổ đầy mẫu thử vào ống của máy so màu (4.4.2) cho tới vạch và so sánh với các kính chuẩn (4.4.3).
CHÚ THÍCH 8 Nếu màng lọc hấp thụ các chất có màu thì dùng các loại khác ví dụ như màng lọc sợi thủy tinh và phải ghi vào báo cáo thử nghiệm.
Báo cáo kết quả, theo đơn vị màu tiêu chuẩn, của dung dịch so sánh có độ màu gần nhất, chính xác đến 5 mg/l Pt trong khoảng từ 0 đến nhỏ hơn 40 mg/l Pt và chính xác đến 10 mg/l Pt trong khoảng từ 40 mg/l Pt đến 70 mg/l Pt.
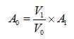
Nếu mẫu đã được pha loãng, ghi độ màu A0, tính bằng mg/l Pt, theo công thức sau:

Trong đó:
V1 là thể tích của mẫu thử sau khi pha loãng;
V0 là thể tích của mẫu thử trước khi pha loãng;
A1 là độ màu ước lượng của mẫu đã pha loãng;
CHÚ THÍCH
9. Nếu màu của mẫu không so sánh được với màu của các chuẩn, có thể báo cáo giá trị gần đúng kèm theo chú thích.
10. Nếu không thể so sánh được, thì mô tả màu của mẫu thử.
11. Quang phổ của một số chất hòa tan tự nhiên trong nước phụ thuộc vào pH. Do vậy, nên nêu giá trị pH của mẫu thử cùng với độ màu.
Chương 5 : Số liệu thống kê và báo cáo thử nghiệm
Số liệu thống kê được nêu trong Bảng 1.
Các con số này dựa vào sự khác nhau giữa các phép đo nhắc lại hai lần và do Trung tâm nghiên cứu nước Medmenbain của Anh thực hiện
Bảng 1 – Độ lệch chuẩn (trong một mẻ) tại bước sóng 400 nm đối với phép đo dùng thiết bị quang học
|
Dải m-1 |
Độ lệch chuẩn m-1 |
Bậc tự do |
|
0 đến 0,75 0,75 đến 1,50 |
0,018 0,027 |
53 9 |
Báo cáo thử nghiệm bao gồm những thông tin sau:
a) Viện dẫn tiêu chuẩn này;
b) Viện dẫn phương pháp sử dụng;
c) Nhận dạng chính xác mẫu;
d) Kết quả thể hiện theo quy định trong 2.4, 3.9 và 4.7;
e) Giá trị pH của mẫu, nếu yêu cầu;
f) Nhiệt độ của mẫu, nếu yêu cầu;
g) Mọi sai khác không quy định trong quy trình hoặc các tình huống có thể ảnh hưởng đến kết quả thử nghiệm (ví dụ lọc hoặc pha loãng).
(tham khảo)
[1] CROWPER, J. and EVANS, J, Estimation of colour in Hazen units by spectrophotometry, J, Am, Water Works Assoc. 73 (1981), pp. 265-270.