CHẤT LƯỢNG NƯỚC – XÁC ĐỊNH NHU CẦU OXY SINH HÓA SAU n NGÀY (BODn) – PHẦN 2: PHƯƠNG PHÁP DÙNG CHO MẪU KHÔNG PHA LOÃNG TIÊU CHUẨN QUỐC GIA TCVN 6001-2: 2008
Water quality – Determination of biochemical oxygen demand after n days (BODn) – Part 2: Method for undiluted samples
Lời nói đầu
TCVN 6001-1 : 2008 và TCVN 6001-2 : 2008 thay thế TCVN 6001 : 1995.
TCVN 6001-2 : 2008 hoàn toàn tương đương với ISO 5815-2 : 2003.
TCVN 6001-2 : 2008 do Ban kỹ thuật tiêu chuẩn TCVN/TC 147 “Chất lượng nước” biên soạn, Tổng cục Tiêu chuẩn Đo lường Chất lượng đề nghị, Bộ Khoa học và Công nghệ công bố.
TCVN 6001 Chất lượng nước – Xác định nhu cầu oxy sinh hóa sau n ngày (BODn) gồm hai tiêu chuẩn sau:
- TCVN 6001-1 : 2008 (ISO 5815-1 : 2003) Phần 1 : Phương pháp pha loãng và cấy có bổ sung allylthioure;
- TCVN 6001-2 : 2008 (ISO 5815-2 : 2003) Phần 2 : Phương pháp dùng cho mẫu không pha loãng.
Lời giới thiệu
Tiêu chuẩn này nhằm để phân tích nhu cầu oxy sinh hóa (BOD) trong nước có BOD nằm trong khoảng từ 0,5 mg/l đến 6 mg/l oxy.
Thời gian ủ quy định trong tiêu chuẩn này là năm ngày, giống như trong TCVN 6001 : 1995 (ISO 5815 : 1989) và như đã áp dụng ở nhiều nước Châu Âu, hoặc bảy ngày như đã áp dụng ở các nước Bắc Âu trong nhiều năm. Thời gian ủ bảy ngày nói chung cho kết quả BOC cao hơn ủ năm ngày.
Thời gian ủ năm ngày, có thể tránh được phải làm việc vào những ngày nghỉ cuối tuần nếu lấy mẫu vào các ngày thứ tư, thứ năm hay thứ sáu. Khi thời gian ủ bảy ngày, có thể phân tích những mẫu được lấy vào những ngày đầu tiên trong tuần mà không phải làm việc vào ngày nghỉ cuối tuần. Vì thế thời gian ủ bảy ngày được xem là thuận tiện hơn ủ năm ngày.
Phương pháp ủ bảy ngày mới được mô tả trong Phụ lục A. Các điều tra nghiên cứu kết quả BOD thu được theo phương pháp mới này hoàn toàn tương đương với kết quả BOD ủ sau năm ngày được mô tả trong phần chính của tiêu chuẩn này. Hy vọng rằng có nhiều số liệu so sánh thu được giữa hai phương pháp ủ trong những năm tới để phương pháp ủ bảy ngày được nhìn nhận đầy đủ hơn trong tiêu chuẩn này.
Để xác định BODn của mẫu nước, có thể dùng phương pháp máy thở mô tả trong TCVN 6827 (ISO 9408).
Trong tiêu chuẩn này, giới hạn xác định DL được tính theo công thức sau:

Trong đó:
SB là độ lệch chuẩn của dãy xác định;
t0,95(f) là giá trị t phân bố Student;
f là số bậc tự do để xác định SB;
n là số lần phân tích để xác định mẫu trắng trong dãy phân tích;
SB được tính theo số mẫu có hàm lượng BOD gần với DL ước tính.
Trong trường hợp phương pháp phân tích không yêu cầu hiệu chỉnh mẫu trắng thì bỏ qua thành phần

CHẤT LƯỢNG NƯỚC – XÁC ĐỊNH NHU CẦU OXY SINH HÓA SAU n NGÀY (BODn) –
PHẦN 2: PHƯƠNG PHÁP DÙNG CHO MẪU KHÔNG PHA LOÃNG
Water quality – Determination of biochemical oxygen demand after n days (BODn) – Part 2: Method for undiluted samples
Cảnh báo – Người dùng tiêu chuẩn này cần phải thành thạo với các thực hành trong phòng thí nghiệm thông thường. Tiêu chuẩn này không đề cập đến mọi vần đề an toàn liên quan đến người sử dụng. Trách nhiệm của người sử dụng là phải xác lập độ an toàn, đảm bảo sức khỏe và phù hợp với các quy định của quốc gia.
Tiêu chuẩn này quy định việc xác định nhu cầu oxy sinh hóa (BOD) của mẫu nước không pha loãng. Tiêu chuẩn này được áp dụng cho mọi loại nước có nhu cầu oxy sinh hóa lớn hơn hoặc bằng 0,5 mg/l oxy (giới hạn xác định) và không vượt quá 6 mg/l oxy.
Kết quả thu được là sản phẩm kết hợp của các phản ứng hóa học và sinh hóa. Kết quả này không thể hiện đặc tính chặt chẽ và rõ ràng của phản ứng do một quá trình hóa học đơn lẻ, đã xác định rõ tạo ra. Tuy nhiên, chúng cung cấp một chỉ thị để dựa vào đó có thể ước tính được chất lượng nước.
Phép thử có thể bị ảnh hưởng do có mặt của các chất khác nhau. Tính chất của các chất này là độc đối với vi sinh vật, ví dụ thuốc diệt khuẩn, các kim loại độc, clo tự do sẽ ức chế sự oxy hóa sinh hóa. Sự có mặt của tảo hoặc sinh vật nitro hóa có thể tạo ra kết quả cao phi tự nhiên. Trong những trường hợp đó việc cải tiến phương pháp là cần thiết.
Phụ lục A mô tả các thời gian ủ.
Phụ lục B mô tả phương pháp cải tiến bằng cách thêm chất cấy, muối, chất ức chế nitrat bằng allylthioure (ATU), trung hòa, đồng thể hóa và/ hoặc lọc. Những cải tiến này có thể cần thiết cho việc đánh giá chất lượng của các vùng nước nhận.
Phụ lục C đưa ra dữ liệu về độ chụm.
Các tài liệu viện dẫn sau là rất cần thiết cho việc áp dụng tiêu chuẩn này. Đối với các tài liệu viện dẫn ghi năm công bố thì áp dụng bản được nêu. Đối với các tài liệu viện dẫn không ghi năm công bố thì áp dụng phiên bản mới nhất (bao gồm cả sửa đổi).
TCVN 4851 : 1989 (ISO 3696 : 1987), Nước dùng cho phòng thí nghiệm – Yêu cầu kỹ thuật và phương pháp thử.
VCVN 7324 : 2004 (ISO 5813 : 1983), Chất lượng nước – Xác định oxy hòa tan – Phương pháp iod.
TCVN 7325 : 2004 (ISO 5814 : 1990), Chất lượng nước – Xác định oxy hòa tan – Phương pháp điện hóa.
Trong tiêu chuẩn này áp dụng những thuật ngữ và định nghĩa sau:
3.1. Nhu cầu oxy sinh hóa sau n ngày (biochemical oxygen demand affer n days) BODn
Nồng độ oxy hòa tan bị tiêu tốn dưới những điều kiện đặc biệt bởi sự oxy hóa sinh hóa của các chất hữu cơ và vô cơ trong nước, trong đó n là thời gian ủ năm ngày hoặc bảy ngày.
CHÚ THÍCH 1 Chấp nhận theo TCVN 5981-2 (ISO 6107-2).
CHÚ THÍCH 2 Trong tiêu chuẩn này, “sự oxy hóa sinh hóa” được hiểu là “sự oxy hóa sinh học”.
Điều quan trọng là phép thử tiến hành theo tiêu chuẩn này cần được thực hiện bởi những nhân viên được đào tạo phù hợp.
Mẫu nước dùng để phân tích cần có nhiệt độ là 20 oC, nếu cần thì sục khí. Ủ ở 20 oC trong khoảng thời gian xác định năm ngày hoặc bảy ngày, ở trong tối và bình ủ được nạp đầy, đóng kín. Nồng độ oxy hòa tan được xác định trước và sau khi ủ. Tính lượng oxy tiêu tốn trong một lít mẫu.
Dụng cụ thủy tinh cần rửa sạch, nghĩa là không có chất độc hấp phụ hoặc chất phân hủy sinh học vào không bị nhiễm bẩn.
5.1. Bình ủ, bình BOD, có nút thủy tinh, dung tích 250 ml đến 300 ml hoặc 100 ml đến 125 ml, tốt nhất là loại bình vuông vai hoặc các loại bình tương đương.
Quan trọng là các bình cần được làm sạch cẩn thận trước khi dùng. Nếu dùng phương pháp iod [TCVN 7324 (ISO 5813)] để xác định oxy hòa tan thì chỉ cần tráng bình vài lần bằng nước vòi và sau đó tráng bằng nước cất là đủ. Nếu dùng phương pháp điện hóa [TCVN 7325 (ISO 5814)] thì cần rửa bình cẩn thận hơn, ví dụ thực hiện như sau: Thêm vào bình 5 ml đến 10 ml dung dịch rửa, ví dụ 2,5 g iod với 12,5 g kali iodua trong 1 l axit sulfuric 1 % (theo thể tích). Lắc mạnh để thấm ướt hết thành bình. Để yên 15 min, đổ bỏ dung dịch ra khỏi bình rồi tráng cẩn thận bằng nước vòi rồi cuối cùng tráng bằng nước cất.
5.2. Tủ ủ, có khả năng duy trì ở (20 ± 2) oC.
5.3. Các thiết bị dùng để xác định nồng độ oxy hòa tan, theo TCVN 7324 (ISO 5813) và TCVN 7325 (ISO 5814).
5.4. Thiết bị làm lạnh từ 0 oC đến 4 oC để vận chuyển và bảo quản mẫu.
5.5. Thiết bị sục khí, ví dụ bình khí nén hoặc máy nén.
Chất lượng không khí khi sục vào không được nhiễm bẩn, nhất là khi thêm các chất hữu cơ, các chất oxy hóa khử hoặc kim loại. Nếu nghi ngờ có nhiễm bẩn, cần lọc và rửa không khí.
Bảo quản mẫu ở 0 oC đến 4 oC ngay sau khi lấy mẫu đầy bình, đậy kín cho đến khi phân tích. Phân tích BOD càng sớm càng tốt, trong vòng 24 h sau khi lấy mẫu.
7.1. Chuẩn bị dung dịch thử
Để mẫu thử ở (20 ± 2) oC và sục khí nếu cần. Trường hợp sục khí thì để yên mẫu trong 15 min sau khi sục. Đuổi hết khí và oxy quá bão hòa.
7.2. Tiến hành
7.2.1. Đo oxy hòa tan bằng phương pháp chuẩn độ iod [theo TCVN 7324 (ISO 5813)]
Dùng mỗi mẫu (7.1), nạp vào hai bình ủ (5.1) đến vừa tràn. Trong khi nạp, cần chú ý tránh thay đổi nồng độ oxy của dung dịch.
Đuổi hết bọt khí bám trên thành bình. Đậy bình, chú ý không để bọt khí lọt vào.
Chia các bình thành hai loạt, mỗi loạt chứa một bình của mỗi mẫu.
Để một loạt đầu tiên vào tủ ủ (5.2) và ở nơi tối trong n ngày ± 4 h.
Loạt thứ hai đem đo nồng độ oxy hòa tan trong mỗi bình ở thời điểm “không” (zero) sau 15 min, bằng phương pháp quy định trong TCVN 7324 (ISO 5813), có thêm azid trong thuốc thử iodua kiềm-azid.
Sau khi ủ, xác định nồng độ oxy hòa tan trong mỗi bình của loạt đầu tiên bằng phương pháp quy định trong TCVN 7324 (ISO 5813).
7.2.2. Đo nồng độ oxy hòa tan bằng phương pháp điện hóa [theo TCVN 7325 (ISO 5814)]
Dùng mỗi mẫu (7.1), nạp đầy bình ủ (5.1) đến vừa tràn. Trong khi nạp, cần chú ý tránh sự thay đổi nồng độ oxy của mỗi dung dịch.
Đuổi hết bọt khí bám trên thành bình.
Đo nồng độ oxy hòa tan ở mỗi bình tại thời điểm “không” (zero) bằng phương pháp quy định TCVN 7325 (ISO 5814).
Đậy bình, chú ý không để bọt khí lọt vào.
Đặt các bình vào tủ ủ (5.2), ở nơi tối, trong n ngày ± 4 h.
Sau thời gian ủ, xác định nồng độ oxy hòa tan trong mỗi bình bằng phương pháp quy định trong TCVN 7325 (ISO 5814).
7.2.3. Phân tích kiểm tra
Đối với mỗi loạt xác định, ít nhất xác định kép một mẫu (BODn1, BODn2).
Biểu diễn phần trăm sai khác tương đối (rt) của mỗi loạt (i) trên biểu đồ kiểm tra chất lượng:

Trong đó:
BODn1 là kết quả xác định BOD của mẫu lần đầu tiên;
BODn2 là kết quả xác định BOD của mẫu lần thứ hai.
Giới hạn trên được xem là:
3,2678.
Trong đó: 
Hệ số độ lệch lặp lại (CV) có thể tính theo:

Sau khi ủ, nồng độ oxy hòa tan còn lại ít nhất là 2 mg/l. Lượng oxy tiêu tốn ít nhất là giới hạn xác định trong phòng thí nghiệm của phép đo BOD.
Cần chú ý lấy mẫu đại diện.
8. Tính toán và thể hiện kết quả
Tính toán nhu cầu oxy sinh hóa sau n ngày (BODn), tính bằng miligam trên lít oxy dùng công thức sau:
BODn = (p1 - p2) (6)
Trong đó:
p1 là nồng độ oxy hòa tan trong mẫu thử ở thời điểm “không”, tính bằng miligam trên lít;
p2 là nồng độ oxy hòa tan trong mẫu thử sau n ngày, tính bằng miligam trên lít.
Kết quả được báo cáo với hai số có nghĩa, ví dụ 4,5 mg/l oxy.
Kết quả về độ đúng và độ chính xác của thử liên phòng thí nghiệm được nêu ở Phụ lục C.
Báo cáo thử nghiệm cần bao gồm những thông tin sau:
a) Viện dẫn tiêu chuẩn này;
b) Số ngày ủ (n);
c) Kết quả tính bằng miligam trên lít oxy (nêu ở điều 8);
d) Kết quả dưới khoảng làm việc, giới hạn xác định;
e) Những chi tiết đặc biệt ghi nhận trong quá trình thử;
f) Chi tiết những điều không quy định trong tiêu chuẩn này hoặc là tự chọn như sục khí (7.1), thời gian ủ (BOD2-5) (phù hợp với Phụ lục A) và những cải tiến như đông lạnh và đồng thể hóa (phù hợp với Phụ lục B).
(tham khảo)
Tốc độ oxy hóa cacbon trong giai đoạn đầu tiên của phép thử BOD được thể hiện bằng định luật Phelp:
Trong đó:
L là BOD cuối cùng ở thời gian vô cùng, tính bằng miligam trên lít oxy;
x là BOD ở thời gian t, tính bằng mililit trên lít oxy;
t là thời gian, tính bằng ngày;
k là hằng số tốc độ, thể hiện bằng nghịch đảo của ngày.
Đối với một loại chất hữu cơ và vi sinh vật, hiệu ứng của nhiệt độ đến hằng số k và giá trị của L có thể được dự đoán với sự gần đúng bậc nhất. Điều đó có thể có hữu ích khi dùng phép thử BOD ở những vùng có khí hậu nóng hoặc trong các nghiên cứu dọc theo những triền sông chảy qua nhiều vùng khí hậu. Tuy vậy, cần thận trọng khi sử dụng những dự đoán đó.
Kết quả BOD tiêu chuẩn sau khi ủ ở năm ngày hoặc bảy ngày ở 20 oC đã nhận được.
Cũng nhận được kết quả BOD sau khi ủ 2 ngày ở (0 đến 4 oC) tiếp đó ủ ở 20 oC trong 5 ngày gọi là BOD2-5. Trong một phép thử liên phòng thí nghiệm năm 1992, quan hệ gữa BOD5 và BOD7 và giữa BOD5 và BOD2-5 đã được đo. Trong phép thử này, 76 phòng thí nghiệm của chín nước đã tham gia. Kết quả được trình bày ở Bảng A.1. Thực tế cho thấy không có sự khác biệt giữa xác định BOD5 và BOD2-5.
Bảng A.1 – So sánh phép thử liên phòng thí nghiệm 46:1992 – So sánh việc xác định BOD5 và BOD2-5
|
Loại mẫu |
|
BOD5 mg/l oxy trung bình |
BOD2-5 mg/l oxy trung bình |
Khác biệt a) |
Số phòng thí nghiệm dùng trong tính toán |
BOD2-5/BOD5 |
|
Nước ngọt ổn định |
A B |
2,15 4,87 |
2,12 4,92 |
Không Không |
71 71 |
- - |
|
Nước ngọt tự nhiên |
Ca Cl |
0,68 1,29 |
0,62 1,28 |
Không Không |
15 28 |
- - |
|
Nước ngọt tự nhiên |
Da Dl |
4,69 3,03 |
4,68 3,22 |
Không Có |
16 28 |
- 1,06 |
|
* Mức ý nghĩa a = 0,05. |
||||||
Khi xác định BOD2-5, đoạn 4 của 7.2.1 cần phải như sau:
* Để các bình thuộc loạt đầu vào tủ lạnh, tối đặt ở 0 oC đến 4 oC trong 2 ngày ± 2 h 1), sau đó đặt chúng vào tủ ủ (5.2) với nhiệt độ của mẫu ở (20 ± 1) oC và đặt trong tối trong 5 đến ± 2 h 1).
Và đoạn 5 của 7.2.2 phải như sau:
* Đặt các bình vào tủ lạnh trong tối, ở 0 oC đến 4 oC trong 2 d ± 2 h 1) và sau đó đặt chúng vào tủ ủ (5.2) với nhiệt độ của mẫu ở (20 ± 1) oC và đặt trong tối trong 5 d ± 2 h 1).
Khi xác định BOD2-5 thay cho xác định BOD5 thì cần kiểm tra xem quy trình xác định BOD2-5 và BOD5 cho hai kết quả có tương đương nhau không.
(tham khảo)
PHƯƠNG PHÁP CẢI TIẾN ĐỐI VỚI ĐÁNH GIÁ CỤ THỂ
B.1. Khái quát
Để đánh giá chất lượng nước cụ thể, có thể cần cải tiến phương pháp tiêu chuẩn. Một vài cải tiến được trình bày trong Phụ lục này. Hiệu chỉnh kết quả được thực hiện để phù hợp với việc pha loãng mẫu bằng thuốc thử.
Nếu sau khi lấy mẫu không thể phân tích trong vòng 24 h do phải vận chuyển và hoàn cảnh địa hình thì được phép làm đông lạnh mẫu. Cần làm đồng thể hóa các mẫu đông lạnh sau khi để tan chảy và thêm nước cấy. Nên sử dụng phòng thí nghiệm địa phương để làm giảm thời gian vận chuyển mẫu.
Để nghiên cứu BODn với các mẫu không pha loãng, việc cấy là cần thiết. Khi đó, thêm 5 ml đến 20 ml nước cấy (B.2.2) vào 1 lít mẫu. Kết quả nhu cầu oxy sinh hóa cần được hiệu chỉnh như sau. Nước cấp được pha loãng bằng nước đã xử lý như mẫu thử theo điều 7 của tiêu chuẩn này.
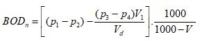
Mức độ pha loãng phải sao cho sau khi ủ nồng độ oxy còn lại sẽ trong khoảng một phần ba đến hai phần ba nồng độ ban đầu. Nhu cầu oxy sinh hóa BODn tính bằng miligam trên lít oxy được tính theo công thức :
Trong đó:
p1 là nồng độ oxy hòa tan trong mẫu thử đã cấy ở thời điểm “không”, tính bằng miligam trên lít.
p2 là nồng độ oxy hòa tan trong mẫu thử đã cấy sau n ngày, tính bằng miligam trên lít;
p3 là nồng độ oxy hòa tan trong nước cấy đã pha loãng bằng nước ở thời điểm “không”, tính bằng miligam trên lít;
p4 là nồng độ oxy hòa tan trong nước cấy đã pha loãng bằng nước sau n ngày, tính bằng miligam trên lít;
V1 là thể tích nước cấy trong một lít mẫu thử đã cấy, tính bằng mililít;
Vd là thể tích nước cấy trong một lít nước cấy được pha loãng bằng nước, tính bằng mililít.
Đối với nhưng mẫu có hàm lượng muối thấp cần bổ sung dung dịch muối theo tỷ lệ 1 ml mỗi dung dịch muối (B.2.2.1, B.2.2.3 và B.2.2.4) cho một lít mẫu.
Để nghiên cứu BODn của các mẫu không pha loãng, có thể phải ức chế sự nitrat hóa. Thêm 2 ml dung dịch allylthioure (B.2.3) vào một lít mẫu.
Nếu pH các mẫu không nằm trong khoảng từ 6 đến 8, cần phải trung hòa. Cần trung hòa bằng dung dịch axit clohydric (B.2.4) hoặc natri hydroxyt (B.2.5). Bỏ qua các kết tủa có thể tạo ra.
Nếu mẫu chứa clo tự do hoặc liên kết thì cần trung hòa bằng dung dịch natri sulfit (B.2.6). Chú ý tránh để dư sulfit.
CHÚ THÍCH Phương pháp xác định clo tự do hoặc liên kết nêu ở ISO 7393-1 và ISO 7393-2.
Tiến hành đồng thể hóa bằng dụng cụ phòng thí nghiệm hoặc tương đương đối với mục đích riêng, ví dụ:
a) Khi mẫu chứa các hạt lớn;
b) Khi mẫu bị đông lạnh (Xem điều 10).
Cần lọc mẫu chứa rong tảo để tránh làm tăng kết quả. Việc lọc có thể làm thay đổi giá trị BOD và chỉ thực hiện khi thấy thật cần thiết cho việc đánh giá chất lượng nước. Nên dùng cái lọc có cỡ lỗ 1,6 µm. Ghi vào báo cáo thử nghiệm kích thước hạt bị giữ lại trên cái lọc.
B.2. Thuốc thử
Dùng nước loại 3 theo TCVN 4851 (ISO 3696). Tuy nhiên, nước không chứa quá 0,01 mg/l đồng, không có clo hoặc cloramin.
B.2.1. Nước cấy
Nước cấy được lấy từ:
a) Nước lắng của trạm xử lý nước thải;
b) Nước cấy bán ngoài thị trường.
B.2.2. Dung dịch muối, bảo quản trong bình thủy tinh để ở nơi tối.
Những dung dịch sau đây bền ít nhất trong một tháng. Đổ bỏ nếu có dấu hiệu về kết tủa hoặc sự phát triển sinh khối.
B.2.2.1. Dung dịch đệm phosphat, pH 7,2.
Hòa tan 8,5 g kali dihydro photphat (KH2PO4), 21,75 g dinatri hydro photphat (K2HPO2), 33,4 g dinatri hydro photphat ngậm bảy nước (Na2HPO4.7H2O) và 1,7 g amoni clorua (NH4Cl) vào khoảng 500 ml nước. Pha loãng đến 1 000 ml và lắc đều.
Dung dịch đệm này có pH 7,2, không cần điều chỉnh thêm.
B.2.2.2. Dung dịch magie sulfat ngậm bảy nước, p = 22,5 g/l
Hòa tan 22,5 g magie sulfat ngậm bảy nước (MgSO4.7H2O) vào nước. Pha loãng đến 1 000 ml và lắc đều.
B.2.2.3. Dung dịch canxi clorua, p = 27,5 g/l
Hòa tan 27,5 g canxi clorua khan (CaCl2) hoặc một lượng tương đương (ví dụ nếu dùng canxi clorua ngậm hai nước: 36,4 g CaCl2.2H2O) vào nước. Pha loãng đến 1000 ml và trộn đều.
B.2.2.4. Dung dịch sắt (III) clorua ngậm sáu nước, p = 0,25 g/l
Hòa tan 0,25 g sắt (III) clorua ngậm sáu nước (FeCl3.6H2O) vào nước. Pha loãng đến 1 000 ml và lắc đều.
B.2.3. Dung dịch allylthioure (ATU)
Hòa tan 200 mg allylthioure (C4H8N2S) vào nước, pha loãng đến 200 ml và trộn đều. Bảo quản dung dịch ở 4 oC
B.2.4. Dung dịch axit clohydric (HCl) hoặc dung dịch axit sulfuric (H2SO4), c(H2SO4) » 0,25 mol/l, c(HCl) » 0,5 mol/l hoặc thích hợp.
B.2.5. Dung dịch natri hydroxit (NaOH), p = 20 g/l hoặc thích hợp.
B.2.6. Dung dịch natri sulfit (Na2SO3), p » 50 g/l hoặc thích hợp.
(tham khảo)
Độ lệch chuẩn của BODn đã được phép thử liên phòng thí nghiệm xác định năm 1992, trong đó 76 phòng thí nghiệm của chín quốc gia đã phân tích từ hai đến bốn mẫu, gồm hai mẫu nước ngọt được ổn định, nước mặt và hai mẫu nước ngọt và nước mặt địa phương. Kết quả nêu ở Bảng C.1
Bảng C.1 – So sánh thử liên phòng thí nghiệm 46 : 1992 – Kết quả
|
Loại mẫu |
Trung bình |
Độ lệch chuẩn tái lập |
Độ lệch chuẩn tương đối trong các phòng thí nghiệm |
Độ lệch chuẩn lặp lại |
Độ lệch chuẩn tương đối giữa các phòng thí nghiệm |
Số phòng thí nghiệm dùng để tính toán |
Số phòng thí nghiệm bị loại bỏ |
||
|
mg/l oxy |
mg/l oxy |
% |
mg/l oxy |
% |
|
|
|||
|
BOD5 |
Nước ngọt ổn định |
A |
2,15 |
0,10 |
4,3 |
0,53 |
24 |
72 |
2 |
|
Nước ngọt ổn định |
B |
4,87 |
0,13 |
2,7 |
0,85 |
18 |
72 |
3 |
|
|
Nước ngọt tự nhiên |
C0 |
1,56 |
0,12 |
7,4 |
- |
- |
24 |
3 |
|
|
Nước ngọt tự nhiên |
C1 |
0,68 |
0,13 |
18 |
0,26 |
36 |
16 |
1 |
|
|
Nước ngọt tự nhiên |
C |
1,29 |
0,13 |
9,4 |
0,34 |
26 |
28 |
1 |
|
|
Nước ngọt tự nhiên |
D |
2,06 |
0,15 |
5,0 |
- |
- |
24 |
1 |
|
|
Nước ngọt tự nhiên |
D5 |
4,69 |
0,22 |
4,8 |
0,30 |
6,4 |
16 |
0 |
|
|
Nước ngọt tự nhiên |
D |
3,03 |
0,15 |
4,7 |
0,31 |
10 |
28 |
0 |
|
|
BOD2-5 |
Nước ngọt ổn định |
A |
2,12 |
0,13 |
5,9 |
0,37 |
17 |
71 |
2 |
|
Nước ngọt ổn định |
B |
4,92 |
0,17 |
3,6 |
0,85 |
18 |
71 |
3 |
|
|
Nước ngọt tự nhiên |
C0 |
1,29 |
0,12 |
7,4 |
- |
- |
24 |
2 |
|
|
Nước ngọt tự nhiên |
C1 |
0,62 |
0,10 |
17 |
0,21 |
36 |
16 |
1 |
|
|
Nước ngọt tự nhiên |
C |
1,28 |
0,11 |
9,1 |
0,27 |
21 |
28 |
0 |
|
|
Nước ngọt tự nhiên |
D |
1,90 |
0,10 |
3,9 |
- |
- |
24 |
3 |
|
|
Nước ngọt tự nhiên |
D5 |
4,68 |
0,15 |
3,1 |
0,39 |
8,4 |
16 |
1 |
|
|
Nước ngọt tự nhiên |
D |
3,22 |
0,13 |
3,9 |
0,38 |
12 |
28 |
1 |
|
|
BOD |
Nước ngọt ổn định |
A |
2,57 |
0,11 |
4,3 |
0,40 |
15 |
71 |
6 |
|
Nước ngọt ổn định |
B |
5,82 |
0,15 |
2,7 |
0,94 |
17 |
71 |
4 |
|
|
Nước ngọt tự nhiên |
C0 |
2,02 |
0,13 |
7,5 |
- |
- |
24 |
4 |
|
|
Nước ngọt tự nhiên |
C1 |
0,90 |
0,08 |
9,8 |
0,26 |
30 |
16 |
4 |
|
|
Nước ngọt tự nhiên |
C |
1,50 |
0,14 |
8,9 |
0,38 |
25 |
28 |
2 |
|
|
Nước ngọt tự nhiên |
D |
2,67 |
0,17 |
4,9 |
- |
- |
24 |
2 |
|
|
Nước ngọt tự nhiên |
D5 |
5,51 |
0,29 |
5,3 |
0,42 |
7,7 |
16 |
0 |
|
|
Nước ngọt tự nhiên |
D |
4,74 |
0,16 |
3,4 |
0,44 |
9,3 |
28 |
0 |
|
So sánh phép thử liên phòng thí nghiệm cho thấy độ lệch chuẩn tái lập là từ 0,10 mg/l đến 0,29 mg/l oxy và độ lệch chuẩn lặp lại là từ 0,26 mg/l đến 0,94 mg/l oxy.
Có thể thiết lập hệ số chuyển giữa BOD5 và BOD7 cho từng loại nước.
Giá trị của hệ số chuyển có thể thu được khi phân tích song song BOD5 và BOD7 của các mẫu giống nhau cho từng loại nước. Nếu hệ số chuyển giữa BOD5 và BOD7 không được xác định thì có thể ước lượng từ bảng so sánh liên phòng thí nghiệm ở trên. Kết quả đưa ra ở Bảng C.2
Bảng C.2 – So sánh liên phòng thí nghiệm 46:1992 – So sánh việc xác định BOD5 và BOD7
|
Loại mẫu |
|
BOD5 mg/l oxy trung bình |
BOD2-5 mg/l oxy trung bình |
Sai khác a |
Số phòng thí nghiệm bao gồm trong tính toán |
BOD7/BOD5 |
|
Nước ngọt ổn định |
A B |
2,15 4,87 |
2,57 5,82 |
có có |
71 71 |
1,20 1,20 |
|
Nước ngọt tự nhiên |
C5 Di |
0,68 1,29 |
0,90 1,50 |
có có |
15 28 |
1,32 1,16 |
|
Nước ngọt tự nhiên |
C5 Di |
4,69 3,03 |
5,51 4,74 |
có có |
16 28 |
1,28 1,56 |
|
* Mức ý nghĩa a = 0,05. |
||||||
THƯ MỤC TÀI LIỆU THAM KHẢO
[1] TCVN 5981-2 (ISO 6107-2), Chất lượng nước – Thuật ngữ - Phần 2.
[2] ISO 7393-1, Water quality – Determination of free chlorine and total chlorine – Part 1: Titrimetric method using N,N-diethyl-1,4-phenylenediamin.
[3] ISO 7393-2, Water quality – Determination of free chlorine and total chlorine – Part 2: Colorimetric method using N,N-diethyl-1,4-phenylenediamin, for routine control purposes.
[4] TCVN 6827 : 2001 (ISO 9408 : 1999), Chất lượng nước – Đánh giá sự phân hủy sinh học ưa khí của các hợp chất hữu cơ trong nước bằng cách xác định nhu cầu oxy trong máy thở kín.
1) Tủ ủ quạt có thể cần để đảm bảo cho sự thay đổi nhiệt độ tủ ủ trong khoảng thời gian được yêu cầu.

